随着全球变化加剧,生物多样性丧失如何对生态系统功能和人类福祉的影响已经成为最受关注的科学问题和社会热点。在过去半个世纪,生态学家在全球模拟建立了近百个生物多样性灭绝控制实验,用来检验物种丧失对生态系统生产力等功能的影响过程和生态后果。研究发现,当物种“非随机”灭绝时,草原生产力和森林产材量会大幅减少。换言之,生物多样性越高,生态系统生产力更大,从而为人类提供更多的生态系统服务功能。更为重要的是,生物多样性对生态系统功能的正向效应会随时间推移而逐渐增加。虽然这些研究发现极大地丰富了我们对生物多样性与生态系统功能关系维持的理解,但这种时间增强效应背后的生态学过程尚不清楚。
泥巴影院 阎恩荣科研团队与国际同行合作,基于泥巴影院 的舟山海岛以及全球其他26个森林和39个草地植物多样性控制实验的长期观测数据 (图1),通过整合分析,首次揭示了功能策略不同的物种的超产(生产力在多物种组合大于单种组合)时间互补是强化植物多样性加性效应的主要生态过程(图2),从而显著推动了对生物多样性与生态系统功能关系维持机制的深入理解,也为退化生态系统恢复和草地与森林生产力优化提升管理中的物种配置方案提供了理论基础和方法途径。该研究成果以 Effects of plant diversity on productivity strengthen over time due to trait-dependent shifts in species overyielding 为题,于2024年3月7日发表在《自然-通讯》(Nature Communications)上。

Nature Communications 刊发华东师大泥巴影院 阎恩荣团队联合研究成果

图1. 本研究所包括的全球BEF实验分布图以及部分实验总体图。三个实验样地图分别来自美国雪溪松(Cedar Creek)、德国耶拿(Jena)和本课题组位于浙江省舟山市普陀山的实验样地(FD-Putuo)
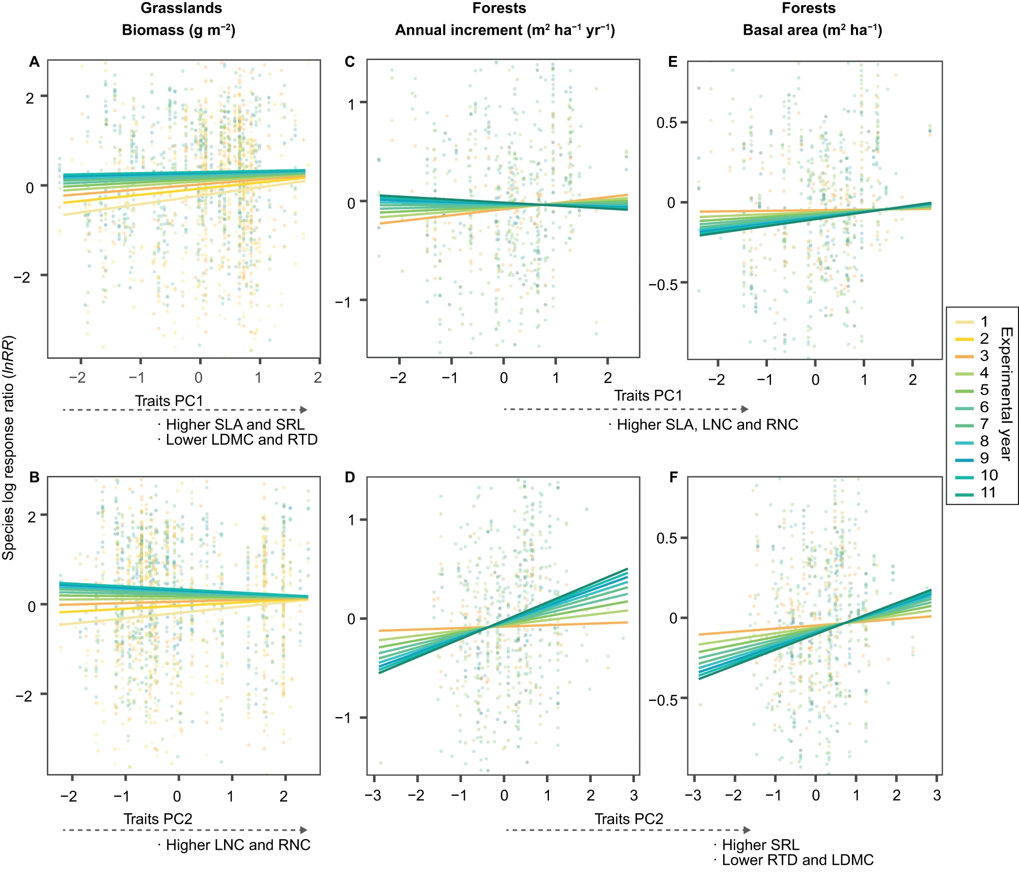
该研究发现,物种多样性效应的时间强化过程来源于生态快慢等生态策略不同的物种的超产时间互补过程,但作用方式在草原和森林生态系统不同(图2,3)。在草地群落中,物种多样性效应的时间强化过程主要取决于资源保守型(慢生长)物种的生物量超产随时间推移的增加,而资源获取型(快生长)物种的生物量超产随时间推移倾向于减少。与之相比,森林树种多样性效应的时间强化过程主要取决于地上和地下功能策略的动态互补;具体而言,随着时间的推移,光捕获能力强的树种的生长超产逐渐减少,而土壤养分和水分资源获取能力强的树种的生长超产逐渐增加。这个研究表明,选择具有不同和潜在互补的生态策略的物种不仅对短期内恢复生态系统生产力至关重要,而且对维持生态系统生产力的长期可持续性也至关重要。

图2. 群落水平的植物多样性效应的时间强化取决于物种水平生长超产随时间的推移概念模型

图3. 物种水平(从资源保守型一端到资源获取型一端)超产随时间推移而变化
这项研究由泥巴影院 联合国内外72位学者共同完成,泥巴影院 22届博士毕业生郑丽婷(现美国密歇根大学博士后)为论文第一作者,阎恩荣教授为通讯作者。泥巴影院 为第一完成单位,合作单位由荷兰乌德勒支大学和瓦赫宁根大学、美国密歇根大学和明尼苏达大学、德国哥廷根大学和哈雷-耶拿-莱比锡生物多样性综合研究中心、英国牛津大学和比利时根特大学等18个国家的48家高校与研究机构组成。
该研究得到国家自然科学基金重点项目(32030068)和上海市高校Ⅳ类高峰学科(岛屿大气与生态)的资助。
论文链接://www.nature.com/articles/s41467-024-46355-z

